Interacción suelo-estructura
Consideración de la interacción suelo estructura en la evaluación del desempeño sísmico de puentes.
Saracho, José Aníbal (1) y (2); Pérez, Gustavo Ariel (2); Dip, Oscar (1) y (2)
Ingenieros Civiles
(1) Universidad Tecnológica Nacional, Facultad Regional Tucumán. (2) Instituto de Estructuras,
Universidad Nacional de Tucumán
joseanibalsaracho@yahoo.com.ar; gperez@herrera.unt.edu.ar; odip@herrera.unt.edu.ar
Resumen
Se evalúa el desempeño sísmico de un puente típico de nuestra red vial nacional considerando la influencia de la interacción suelo estructura. Se trata de un puente de tres tramos con pilas tipo pórtico, estribos cerrados y fundaciones profundas, ubicado en la provincia de Mendoza. Se utilizó el método de evaluación detallada por análisis dinámico no lineal, procedimiento considerado como el de mayor rigurosidad y complejidad. Se creó un modelo 3D de la estructura en el programa MSBridge, el cual emplea la plataforma de elementos finitos OpenSees. Para modelar el comportamiento no lineal del suelo se utilizaron resortes P-y distribuidos en la longitud de los pilotes. La acción sísmica se representó por medio de acelerogramas compatibles con los espectros de pseudoaceleraciones que definen los niveles de sismos requeridos para la evaluación. En cada caso, se comparó la demanda sísmica con la capacidad de los componentes críticos, determinándose así el grado de daño alcanzado por la estructura. Los resultados obtenidos muestran cuantitativamente la importancia de considerar la interacción suelo estructura en este tipo de análisis de puentes.
Abstract
The seismic performance of a typical bridge of our national road network is evaluated considering the influence of the soil-structure interaction. It is a three span bridge with rigid frame piers, closed abutments and deep foundations, located in the province of Mendoza. The detailed evaluation method by non-linear dynamic analysis was used, a procedure considered to be the most rigorous and complex. A 3D model of the structure was created in the MSBridge software, which uses the OpenSees finite element platform. To model the nonlinear behavior of the soil, P-y springs distributed along the length of the piles were used. The seismic action was represented by means of accelerograms compatible with the pseudo-acceleration spectra that define the earthquake levels required for the evaluation. In each case, the seismic demand was compared with the capacity of the critical components, thus determining the degree of damage achieved by the structure. The results obtained quantitatively show the importance of considering the soil structure interaction in this type of bridge analysis.
Introducción
Como es conocido, los puentes son los componentes críticos de los sistemas carreteros. En la evaluación de su desempeño sísmico reviste gran importancia que el modelo analítico adoptado refleje fidedignamente su respuesta ante estas acciones.
En este sentido, tanto para la etapa de diseño como de evaluación de puentes, resulta menester tomar en consideración en la modelación la interacción suelo estructura (ISE), tanto en los estribos como en la fundación de las pilas. En contraposición a ello, por cuestiones de simplificación, la práctica habitual en el modelado consiste en recurrir a la disposición de apoyos simples en correspondencia con los estribos y a la condición de empotramiento perfecto en la fundación de las pilas.
En el Manual de Rehabilitación Sísmica de Puentes [1] se contempla la realización de una evaluación detallada en caso de que un puente fuera calificado como deficiente en un análisis preliminar o bien en otras situaciones determinadas. Dentro de los diferentes métodos a utilizarse para dicha evaluación detallada, el correspondiente al Análisis Dinámico No Lineal (ADNL) se considera como el de mayor rigurosidad y complejidad a costa de un mayor esfuerzo computacional y competencias para la interpretación de los resultados [1]. Asimismo, se prescribe que este es el método que corresponde aplicarse en casos de estructuras complejas e irregulares y también de aquellas ubicadas en la cercanía de fallas activas.
Surge la inquietud de cuantificar el efecto de la influencia de la citada interacción suelo estructura sobre la respuesta sísmica de un puente típico de nuestro territorio nacional mediante ADNL, conforme al actual estado del arte en la materia.
Metodología
Puente de estudio seleccionado
Para este trabajo se seleccionó un puente típico ubicado en la provincia de Mendoza en zona caracterizada como de muy elevada peligrosidad sísmica del territorio nacional. Fue construido en el año 2014 y se halla ubicado en Ruta Nacional 40 sobre el Arroyo Tierras Blancas; corresponde a la clase: Puente de Vigas de Hormigón Simplemente Apoyadas y de Tramos Múltiples según el estudio realizado por los autores [2]. Se tienen dos pilas, formadas cada una por tres columnas con viga cabecera, cuya fundación está constituida por tres pilotes que resultan ser una prolongación de dichas columnas. Los estribos son del tipo rígido cerrado, con muro frontal, muros laterales y de ala fundados sobre seis pilotes. Los apoyos de las vigas son de neopreno zunchado, ubicados sobre dados de hormigón armado; se tienen cinco en los estribos y diez sobre la viga cabecera de pilas.
Es dable destacar que tanto las luces de tramo, número de tramos, altura de pilas y ancho de tablero se corresponden con los valores medios del estudio estadístico presentado en el trabajo referido [3]. En Figuras 1 a 4 se pueden observar vistas y cortes del puente en estudio.

Figura 1. Vista Puente típico de estudio

Figura 2. Sección transversal superestructura del Puente típico

Figura 3. Semi-corte Longitudinal del Puente típico

Figura 4. Geometría en Pilas del Puente típico
Objetivos de desempeño estructural
En la metodología presentada en Buckle et al. [1], se fijan los objetivos de desempeño estructural a cumplir por las estructuras de puentes. Primeramente, se determina la Vida Útil Remanente (VUR), considerando que la vida útil promedio de los puentes es de 75 años. Se tienen tres categorías de VUR según el detalle ofrecido en Tabla 1.
| Categoría de VUR | Período de VUR |
| VUR1 | 0 – 15 años |
| VUR2 | 16 – 50 años |
| VUR3 | Mayor a 50 años |
Tabla 1. Categorías de Vida Útil Remanente (VUR)
Los objetivos de desempeño estructural se fijan para dos niveles de sismos definidos como:
Sismo Menor: corresponde a un periodo de retorno promedio de unos 100 años.
Sismo Mayor: ídem para 1000 años.
A su vez, se definen tres niveles de performance o desempeño, según lo indicado a continuación:
Nivel de Desempeño 1 (ND1): Seguridad de vida. Se asegura únicamente la vida, pero el daño permanente sufrido por el puente durante un terremoto es significativo y el servicio es interrumpido.
Nivel de Desempeño 2 (ND2): Operacional. Después de ocurrido el sismo, el daño permanente es mínimo y todo el servicio para los vehículos de emergencia puede estar disponible después de una inspección y limpieza de escombros.
Nivel de Desempeño 3 (ND3): Totalmente operacional. Después del sismo, el daño permanente es despreciable.
Finalmente, de acuerdo con el nivel de sismo, la importancia del puente y la vida útil remanente, se establecen los niveles mínimos de desempeño recomendados (ver Tabla 2).
| Sismo | Importancia y vida útil remanente del puente | |||||
| Estándar | Esencial | |||||
| VUR1 | VUR2 | VUR3 | VUR1 | VUR2 | VUR3 | |
| Menor | ND0 | ND3 | ND3 | ND0 | ND3 | ND3 |
| Mayor | ND0 | ND1 | ND1 | ND0 | ND1 | ND2 |
Sismicidad local, obtención de acelerogramas
Los acelerogramas a utilizar en análisis dinámico no lineal para verificación del desempeño estructural deben representar el ambiente tectónico y las condiciones locales del sitio de emplazamiento del puente. En este trabajo se utilizarán registros de sismos reales de ambientes tectónicos similares a los del centro-oeste argentino, los cuales serán escalados para compatibilizar con los espectros de respuesta para los sismos menor y mayor respectivamente.
La sismicidad local está relacionada con terremotos superficiales intraplaca o corticales que dan origen a sismos tipo impulsivos o de fuente cercana, como los registrados para el terremoto de Mendoza de 1985 y San Juan 1977 [3]. La fuente sismogénica predominante en el centro oeste argentino la constituyen fallas geológicas activas del tipo inversa.
En la Figura 5 se ubican las fuentes potenciales del centro-oeste argentino. Allí está resaltada la falla cercana al puente de estudio, la de Tupungato. En la Tabla 3 se resume las características fundamentales de dicha fuente sísmica potencial.

Figura 5. Ubicación de fuentes sísmicas potenciales del centro-oeste argentino [4]
|
Nº |
Fuente sísmica |
Terremoto Potencial Máximo | |
| Magnitud [Ms] | Recurrencia [años] | ||
| 14 | Tupungato | 7.0 | 1000 |
Tabla 3. Características de la fuente sísmica potencial cercana al puente de estudio [4].
En cuanto a los espectros objetivos, el de 1000 años de recurrencia se corresponde con el de diseño fijado por el Proyecto de Reglamento INPRES-CIRSOC 103, Parte VI Puentes de Hormigón Armado [5], el cual está basado en las especificaciones AASHTO para el diseño sísmico de puentes [5]. Las ordenadas espectrales correspondientes al sismo menor, de 100 años de periodo de retorno, se obtienen por aplicación de un coeficiente de reducción sobre las del espectro de diseño. Este coeficiente se obtuvo a partir del análisis de los espectros dados para las ciudades de San Juan y Mendoza en el estudio de Cardona et al. [7].
Otro aspecto trascendente en el proceso de búsqueda y selección de acelerogramas lo constituye el factor de escala a utilizar. Según las recomendaciones de Wang et al. [8], en este trabajo se asigna un rango estrecho para dichos factores, entre 0.4 y 2.5.
También resulta determinante el rango de periodos de significancia estructural. Dada la falta de prescripciones sobre este aspecto en normas específicas para puentes, se tomó en consideración lo dispuesto en ASCE/SEI 7-10 [9]. Allí se establece que, para el caso de estructuras no aisladas, el rango de periodos a considerar para realizar el escalado de acelerogramas va desde 0.2T a 1.5T, donde T es el periodo del primer modo de vibración de la estructura.
Para la búsqueda se utilizó la aplicación web de la base de datos del PEER (Pacific Earthquake Engineering Research Center) – Next Generation Attenuation (NGA) [10].
Niveles de daño según Parámetros de Demanda Ingenieril
En Buckle et al. [1] no se fijan de manera explícita y directa los Parámetros de Demanda Ingenieril (PDI) para caracterizar los distintos estados de daño luego de realizado el ADNL. Conforme a la revisión de la literatura científica y técnica efectuada, pudo observarse que el abordaje más claro en esta cuestión es realizado en distintos estudios de fragilidad sísmica (Nielson [11], Avsar [12], DesRoches et al. [13]). En este último estudio citado, patrocinado por CALTRANS (Departamento de Transporte de California), se utilizaron dos PDI para definir los Umbrales de Daño en Componentes (UDC) que ofician de límites para los distintos niveles de desempeño establecidos. Por su pertinencia, serán utilizados también en este estudio. El primero tiene que ver con la capacidad por curvatura de las columnas, denominado ductilidad por curvatura, que se determina según la ecuación 1.

(1)
Donde:
μφ = ductilidad por curvatura
φ max = curvatura máxima alcanzada
φ Fluencia = curvatura correspondiente a la primera fluencia de las barras longitudinales.
El segundo parámetro está relacionado con la capacidad de desplazamiento de la superestructura en función de las dimensiones de los elementos que le sirven de apoyo. De esta manera, entran en juego tanto las medidas de los pedestales donde se ubican los elastómeros, como así también los anchos de sustentación disponibles en las vigas cabeceras de pilas y en la base de apoyo de estribos (ver Figura 6).

Figura 6. Longitud de apoyo disponible para la superestructura, en Pila y Estribos.
La Tabla 4 muestra los umbrales de daño referidos, con los respectivos niveles de desempeño que limitan. Cada vez que se supera uno de estos umbrales, el componente afectado y por ende el puente en su conjunto sufre distinto nivel de daño visible, lo que conlleva a una estrategia diferente de reparación.

Tabla 4. Niveles de daño en componentes [1].
El estudio de Hwang [14] es tomado como marco referencial por distintos trabajos sobre fragilidad sísmica de puentes para la definición de los límites de daño. Allí, dichos umbrales de daño se determinaron a través de la construcción del diagrama momento- curvatura correspondiente a la sección de columna en pila de un puente típico del centro-este de los Estados Unidos. Este mismo método se aplicó para los puentes del presente estudio. Se destacan a continuación los puntos característicos del diagrama citado que ofician de umbrales de daño de los diferentes niveles de desempeño:
• Primera fluencia de armadura longitudinal: φ1
• Límite de serviciabilidad: Curvatura de fluencia, φy
• Límite de control de daño: φ2, curvatura correspondiente a una deformación específica de la fibra externa del hormigón de 0.002 para el caso de la presencia de empalmes por yuxtaposición de armaduras en la zona de formación de rótulas plásticas.
• Curvatura φ4, ídem para la situación donde no se presentan dichos empalmes, con una deformación específica de 0.004.
• Límite de prevención de colapso: φu, curvatura asociada a la deformación específica de la fibra externa del hormigón correspondiente a la última del modelo de Mander para hormigón confinado.
En Figura 7 se presenta esquemáticamente el diagrama Momento-curvatura con su aproximación bilineal y los referidos puntos característicos.

Figura 7. Diagrama Momento-Curvatura. Umbrales de daño
En la Tabla 5, se muestran los distintos umbrales de daño con los correspondientes valores de los PDI adoptados para este estudio.
| Parámetro de Demanda Ingenieril | Umbral de Daño en Componente | |||
| UDC-0 | UDC-1 | UDC-2 | UDC-3 | |
| Ductilidad por curvatura [rad/m] | 1 | 1.35 | 2.58 | 7.17 |
| Desplazamiento [mm] | 30 | 100 | 475 | 750 |
Tabla 5. Umbrales de daño según Parámetros de Demanda Ingenieril
Modelo analítico
Para la ejecución del modelo se utilizó el software MSBridge, desarrollado recientemente por investigadores de la Universidad de California para Caltrans [15]. Se trata de una versión educacional de este programa (pre y post-proceso), basado en la plataforma OpenSees [16], que permite realizar modelos en elementos finitos para análisis dinámico no lineal de puentes convencionales con múltiples tramos.
Para modelar la interacción del suelo con la estructura y poder comparar la influencia de su incorporación en el modelo, se utilizó, por un lado, un modelo con base empotrada y, por otro, uno que considera dicha interacción a través de una discretización de los pilotes por medio de elementos de barra con resortes en los nodos.
Siguiendo a Meneses et al. [17], la modelación del suelo y su interacción con las estructuras y sus fundaciones es muy importante en el estudio de su desempeño sísmico [19]. Numerosas investigaciones, como así también observaciones de campo, muestran que la respuesta sísmica de los puentes está fundamentalmente asociada a la caracterización estructural, al comportamiento no lineal, a las características del movimiento del suelo y a los efectos de la interacción suelo estructura (ISE). Por ello, hay diversas metodologías que permiten un acercamiento más o menos preciso del comportamiento real del suelo, dependiendo del grado de interacción entre el suelo y la estructura que se desea reflejar y del costo computacional que se está dispuesto a afrontar. Según Xie et al. [18], existe una gran brecha entre los enfoques de diseño considerablemente simplificados y aquellas modelaciones que son realistas, pero a la vez computacionalmente eficientes. En otras palabras, por un lado, se tiene la modelación con base empotrada que implica suponer que el suelo es completamente rígido y no interactúa con la estructura analizada, lo cual claramente no es real; sin embargo, corresponde a una simplificación muy usada en la mayoría de las prácticas habituales de los diseños y análisis, sobre todo en el análisis de puentes carreteros. Otra interacción simplificada muy utilizada es suponer las fundaciones apoyadas en varios resortes a partir del modelo de Winkler, en que los resortes tienen un comportamiento lineal dado por un coeficiente de balasto k, cuyo valor depende de las características del suelo. Esta metodología incorpora la ISE; sin embargo, supone un comportamiento lineal sin disipación de energía. En el otro extremo se tienen métodos numéricos complejos que consideran la estructura, o una parte de ella, suponiendo un sistema tridimensional acoplado con el suelo semi infinito; aquí, se toman en cuenta las características no lineales del suelo, pero con costosos recursos computacionales [18].
En el rango intermedio, se han desarrollado varios métodos simplificados que incorporan el comportamiento del suelo y su interacción con la estructura, y que tiene costos computacionales más reducidos. Uno muy atractivo y usado por varios investigadores es considerar el comportamiento no lineal de los resortes del modelo de Winkler, también conocido como resortes P-y, que equilibra de buena manera una precisión aceptable y la eficiencia computacional. Esta metodología consiste en distribuir a lo largo del pilote resortes que tienen una relación fuerza – deformación lateral (P-y) que considera el comportamiento no lineal del suelo. En la literatura se han propuesto varias relaciones para estimar los resortes P-y en base a pruebas de laboratorio, las cuales dependen del tipo de suelo y del nivel de confinamiento principalmente. Boulanger et al. [19] desarrolló curvas constitutivas y las implementó en un modelo de OpenSees. Otros autores han formulado distintas expresiones para las curvas P-y incorporando los efectos de la licuación del suelo [20], el roce del suelo con el pilote mediante la relación de fuerzas axiales con desplazamientos verticales (curvas T-z) y, asimismo, el efecto ejercido por la punta del pilote sobre el suelo (curvas Q-z). En tal sentido, en el programa MS Bridge se utilizan modelaciones de la ISE con resortes P-y para la resistencia lateral, T-z para la resistencia axial de fuste, y resortes Q-z para la resistencia en la punta del pilote, siendo esta configuración usada por muchos autores. En la Figura 8 se muestra un esquema que simboliza la modelación de la resistencia e interacción lateral del suelo con el pilote, resortes P-y, y el esquema para las curvas T-z y Q-z referidas.

Figura 8. Representación de resortes P-y, T-z, Q-z [21]
En el presente trabajo, para la definición de las curvas P-y, se emplea el método de Reese et al. [22] para arenas; esta es una de las opciones disponibles en el programa MS Bridge a tal efecto. El valor del módulo de reacción lateral del suelo Kpy se extrajo de la obra de Ma y Deng [21] y se presenta en Tabla 6, al igual que el valor adoptado de fricción interna.
|
Tipo de suelo de fundación |
Módulo de reacción del suelo KP-y [KN/m3] | Ángulo de fricción interna φ [º] |
|
Arena sumergida de alta densidad |
33942 |
30 |
Tabla 6. Valores del módulo de reacción lateral del suelo y ángulo de fricción interna en fundación para modelo del puente de clase VH-SATM.
En Figura 9 se aprecian las curvas P-y para fundación en arena sumergida de alta densidad en el modelo del puente de clase VH-SATM.

Figura 9. Curvas P-y en nodos de los pilotes a distintas profundidades, en [m], para arena sumergida de alta densidad.
En Figura 10 se ofrece una vista del modelo del puente de estudio con consideración de la interacción suelo estructura.

Figura 10. Modelo estructural del puente de estudio con consideración suelo estructura.
Resultados
Los acelerogramas compatibles con los espectros correspondientes a los Sismos Menor y Mayor se obtuvieron de la Base de datos del PEER. Allí se cargaron los archivos de estas ordenadas espectrales y se indicaron los siguientes parámetros: tipo de falla inversa, Magnitud entre 6.5 y 7.5, distancia a la falla entre 1km y 10 km, velocidad superficial de la onda de corte entre 120 a 250 m/s, factor de escala entre 0.4 y 2.5 y el rango de periodos de significancia estructural, entre 0.146 s y 1.23 s. Para establecer este rango, se tomaron 0.2 T1 y 1.5 T2, siendo T1 el periodo del puente con pilas empotrados (el de menor valor) y T2 el del puente con consideración de la ISE (el mayor).
Para el caso del Sismo Mayor, se consiguieron 8 registros correspondientes al sismo de Christchurch, New Zealand, con factores de escala que van desde 0.67 a 1.73. Dos de estos registros son del tipo impulsivo. En Figura 11 se representan los espectros de dichos registros escalados, observándose la buena aproximación del promedio de la serie respecto del espectro objetivo para este caso del Sismo Mayor. Cabe destacar que el ajuste responde a los requerimientos prescriptos en Buckle et al. [1]. En lo que respecta a la serie de registros se busca que el promedio de la serie no sea menor que el 85 % del espectro objetivo para cualquier periodo dentro del rango de significancia estructural. Cabe aclarar que de manera leve esta condición no se cumple entre 0.146 s y 0.3 s, en tanto que dicha prescripción es cumplida con creces para los periodos más grandes.

Figura 11. Espectros de registros escalados obtenidos.
En la Tabla 7 se muestran los periodos fundamentales correspondientes a las estructuras analizadas. En ambos casos, este primer modo de vibración se da en la dirección longitudinal.
| Condición | Periodo [seg] |
| Empotramiento perfecto | 0.73 |
| Interacción suelo estructura | 0.82 |
Tabla 7. Periodos fundamentales del puente para empotramiento perfecto y con interacción suelo estructura.
En lo que sigue, por razones de abreviación, solo se presentarán algunos resultados correspondientes a la respuesta de la estructura frente el Sismo Mayor para las dos situaciones estudiadas, con pilas empotradas y con consideración de la interacción suelo estructura.
La Figura 12 muestra las respuestas de desplazamientos de la superestructura en la dirección transversal, en la cual se registraron los mayores valores. En la Tabla 8 se indican dichos los valores máximos correspondientes.

Figura 12. Desplazamientos de la Superestructura del Puente en Dirección Transversal. Empotrado (izquierda) y con ISE. (derecha)
| Condición pilas | Desplazamiento max. [m] |
| Empotramiento perfecto | 0.0785 |
| Consideración ISE | 0.1572 |
Tabla 8. Desplazamientos máximos en superestructura de los puentes analizados en Dirección Transversal.
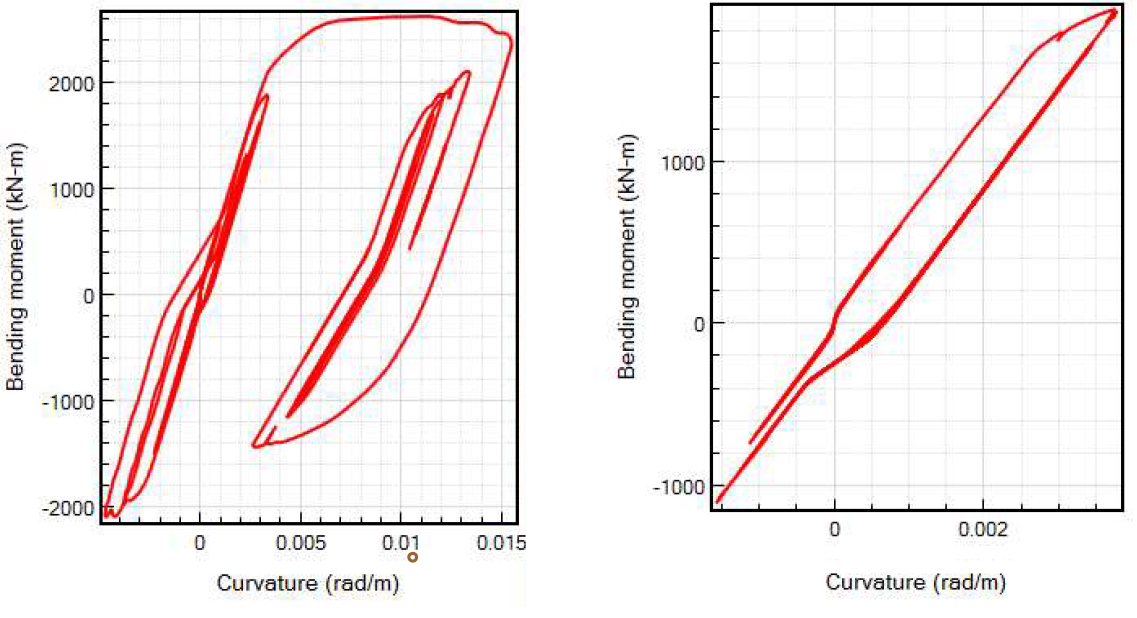
En la Figura 13 se muestran las respuestas Momento-Curvatura para los dos puentes en la dirección transversal, donde resultaron más desfavorables.

Figura 13. Diagrama Momento-curvatura en columna de pila en Dirección Transversal.
Empotrado (izquierda) y con ISE (derecha).
En Tabla 9 se ofrecen los resultados de las Curvaturas de Fluencia, Curvaturas Máximas y las Ductilidades de Curvatura en columnas de ambos casos de estudio.
|
Condición |
Curvatura de Fluencia
[φ Fluencia] |
Curvatura Máxima
[φ max] |
Ductilidad de Curvatura [µφ] |
|
Empotramiento perfecto |
0.00257 |
0.0155 |
6.03 |
|
Consideración ISE |
0.00389 |
1.51 |
Tabla 9. Curvatura de Fluencia, Curvatura Máxima y Ductilidades de Curvatura en columnas de los puentes analizados.
La Figura 14 muestra la respuesta en dirección transversal de uno de los resortes P- y, representativos de la interacción suelo estructura, ubicado a 1.5 m de profundidad.

Figura 14. Respuesta de uno de los Resortes P-y en Dirección Transversal, representativo de la ISE, ubicado a 1.5 m de profundidad.
A modo ilustrativo, a continuación, en Figuras 15 y 16, se exponen las deformaciones máximas de ambos modelos para el sismo transversal, en donde puede apreciarse que la deformación del tramo superior de los pilotes aporta flexibilidad al sistema en comparación con la situación de empotramiento perfecto.

Figura 15. Deformaciones máximas del modelo con pila empotrada en Dirección
Transversal.

Figura 16. Deformaciones máximas del modelo con ISE en Dirección Transversal.
Discusión
En relación con las respuestas sobre ambos casos de estudio, para el Sismo Mayor, la Ductilidad por Curvatura en columnas y el desplazamiento del tablero en el sentido transversal resultaron superiores que en el longitudinal. En este estudio resultó determinante la ductilidad por curvatura. De acuerdo con las prescripciones del Manual de Rehabilitación Sísmica de Puentes [1], dicha ductilidad por curvatura en columna del puente con pila empotrada supera el límite de prevención de colapso, correspondiéndole un nivel de desempeño de seguridad de vida (ND1), con lo cual se acusa un nivel de daño significativo con necesidad de reparaciones importantes para llevarlo al estado operacional. En el segundo caso, donde se considera la interacción suelo estructura, la ductilidad por curvatura se halla sobre el límite de serviciabilidad, con un nivel de desempeño definido como operacional (ND2), en el cual el daño es mínimo con requerimiento de reparaciones menores. Conforme a los resultados obtenidos, en el primer caso no se cumple con los requerimientos mínimos de desempeño para el sismo Mayor, puesto que por tratarse de un puente relativamente nuevo (VUR3) debe mantenerse operacional luego del evento sísmico (ND2), con daños permanentes mínimos. En el caso donde se considera la ISE, dicho requerimiento se cumple.
Conclusiones
Se presentó una metodología de evaluación detallada mediante análisis dinámico no lineal de un puente típico en Argentina con consideración de la interacción suelo estructura, conforme al estado actual del conocimiento, partiendo desde la evaluación de la sismicidad del sitio de implantación de la obra hasta la determinación de su desempeño estructural.
Para el caso de estudio, en el cual la fundación de las pilas se constituye por pilotes que resultan ser prolongación de las columnas en el terreno, pudo establecerse la notable influencia que tiene en la respuesta sísmica considerar la interacción suelo estructura, dada la mayor flexibilidad que acusa la pila en tal situación con respecto al empotramiento perfecto. En primer lugar, se observó que en el modelo que incorpora la ISE se obtienen mayores deformaciones a nivel de tablero, debido a la flexibilidad que aporta el suelo. Por otro lado, el hecho de incorporar la no linealidad del suelo en la modelación tiene también un efecto disipador de energía, disminuyendo las demandas en las columnas. Estos resultados, demuestran la variabilidad en la respuesta que existe al considerar o no la interacción suelo estructura, llevando a cumplir el nivel de desempeño requerido, en contraposición a lo obtenido en situación de empotramiento perfecto.
Referencias
[1] Buckle, Ian; Friedland, Ian; Mander, John; Martin, Geoffrey; Nutt, Richard; Power, Maurice. “Seismic Retrofitting Manual for Highway Structures: Part 1 – Bridges”. Federal Highway Administration; Multidisciplinary Center for Earthquake Engineering Research, University at Buffalo, State University of New York, USA. 2006.
[2] Saracho, J.; Perez, G.; Barlek, J.; Dip, O.; Castelli, E. “Clasificación de puentes en Argentina para la evaluación de su vulnerabilidad sísmica”. Memorias de la 1a Conferencia Internacional de Puentes-Chile 2014. Santiago. 2014.
[3] Frau, Carlos; Saragoni, Rodolfo. “Demanda sísmica de fuente cercana. Situación del oeste argentino”. Congreso Chileno de Sismología e Ingeniería Antisísmica, IX Jornadas. Chile. 1. 2005.
[4] Castano, J. C. (1992). Influencia de las fuentes sísmicas potenciales en el diseño sismorresistente. INPRES Publicacion técnica Nº 17, pp. 1-20, Instituto Nacional de Prevención Sísmica, San Juan, Argentina.
[5] INPRES CIRSOC 103. Proyecto de reglamento argentino para construcciones sismorresistentes. Parte VI Puentes de hormigón armado. Instituto Nacional de Prevención Sísmica, Instituto Nacional de Tecnología Industrial. 2019.
[6] American Association of State Highway and Transportation Officials. AASHTO. Guide Specifications for LRFD Seismic Bridge Design. Washington, DC. 2011.
[7] Cardona O, A. Barbat, M Carreño, G Bernal, M Mora, C Velásquez, M Salgado, “Perfil de Riesgo de Desastres. Informe Nacional para Argentina”, CIMNE, Centro Internacional de Métodos Numéricos en Ingeniería. 2016.
[8] Wang G, R Youngs, M Power y Z Li, “Design ground motion library: an interactive tool for selecting earthquake ground motions”, Earthq. Spectra, Vol. 31, pp. 617–635. 2015.
[9] American Society of Civil Engineers. Structural Engineering Institute. Minimum Design Loads for Buildings and Other Structures. American Society of Civil Engineers. 2010.
[10] PEER Ground Motion Database. Pacific Earthquake Engineering Research Center. http://www.ngawest2.berkeley.edu. 2020. (Consultada el 01.05.20)
[11] Nielson B.G., “Analytical Fragility Curves for Highway Bridges in Moderate Seismic Zones”, PhD Thesis, Georgia Institute of Technology. Atlanta, Georgia. 2005.
[12] AVŞAR O. “Fragility Based Seismic Vulnerability Assessment of Ordinary Highway Bridges in Turkey”, PhD Thesis, Middle East Technical University. Ankara, Turquia. 2009.
[13] DesRoches, R, Padgett, J., Ramanathan, K., Dukes, J. (2012). “Feasibility Studies for Improving Caltrans Bridge Fragility Relationships”. Final Report CA12-1775. Georgia Institute of Technology. California Department of Transportation.
[14] Hwang H., Liu J.B. and Chiu Y.H., “Seismic Fragility Analysis of Highway Bridges”,
Report No. MAEC RR-4, Center for Earthquake Research Information. 2001
[15] Almutairi A., Lu J., Elgamal A. y Mackie K. (2019). MSbridge: Opensees pushover and earthquake analysis of multi-span bridges – user manual. Final Report Submitted to the California Department of Transportation (Caltrans) under Contract No. 65A0530. Department of Structural Engineering, University of California, San Diego.
[16] McKenna, Frank; Fenves, Gregory; Filippou, Filip; Scott, Michael; Elgamal, Ahmed; Arduino, Pedro. “Open System for Earthquake Engineering Simulation”. Pacific Earthquake Engineering Research Center, University of California, Berkeley, USA. http://opensees.berkeley.edu. 2013.
[17] Meneses M, Bazaez R., Hernández F., Artroza R., Pastén C., Ochoa F. (2021). Evaluación del Desempeño Sísmico del Puente Águila Norte. III Congreso Internacional de Puentes Chile 2020. Santiago, Chile.
[18] Xie Y., Huo Y., Zhang J. (2017). Development and validation of p-y modeling approach for seismic response predictions of highway bridges. Earthquake Engineering & Structural Dynamics, 46(4), 585 – 604.
[19] Boulanger R., Curras C., Kutter B., Wilson D., Abghari A. (1999). Seismic soil– pile–structure interaction experiments and analyses. Journal of Geotechnical and Geoenvironmental Engineering, Volume 125, Issue 9.
[20] Brandemberg S., Zhao M., Boulanger R., Wilson D. (2012). P-y plasticity model for nonlinear dynamic analysis of piles in liquefiable soil. Journal of Geotechnical and Geoenvironmental Engineering. Volume 139, Issue 8.
[21] Ma Y. and Deng N. (2014). Bridge Engineering Hanbook. Substructure Design. Taylor & Francis Group, Chen W. y Duan L. Editores, Florida, USA.
[22] Reese L., Cox W., and Koop F. (1974). Analysis of laterally loaded piles in sand. Paper OTC 2080, Proc. Fifth Offshore Tech. Conf., Houston, TX.






















