Multilaminados de Álamo
Se estudia la madera de álamo del sur de Mendoza con el objetivo de evaluar su uso estructural, determinando propiedades mecánicas y densidad mediante ensayos normalizados, y analizando su aplicación en elementos multilaminados encolados.
CARACTERIZACIÓN FÍSICO MECÁNICA DE LA MADERA DE ÁLAMO DEL SUR DE LA PROVINCIA DE MENDOZA, PARA LA FABRICACIÓN DE ELEMENTOS ESTRUCTURALES MULTILAMINADOS ENCOLADOS
Bassotti, Ricardo(1); Bay, Cristian(2); Reviglio, Hugo(2); Genovese, Felipe(3)
Ingenieros Civiles
(1) Profesor Titular; (2) Profesor Adjunto; (3) Profesor Asociado
Universidad Tecnológica Nacional – Facultad Regional San Rafael
Av. Urquiza 314 – San Rafael, Mendoza, Argentina
rbassotti@frsr.utn.edu.ar ; cbay@baygonzalez.com.ar
Resumen
El uso de las variedades forestales de álamo implantadas en el sur de la Provincia de Mendoza, es en general para la industria alimenticia, para la industria de la construcción y algunos muebles sencillos en carpintería para el hogar. La particularidad es que no se realiza una correcta trazabilidad de cada una de las especies forestales, comercializándose la misma sin la correspondiente identificación de su origen. Con el propósito de poder utilizar la madera de álamo con fines estructurales y en particular poder realizar elementos de madera multilaminada encolada, se realiza la caracterización mecánica de la madera, utilizando para tal fin secciones transversales tipo tablas y una comprobación de las propiedades por medio de alfajías. Se aplican las determinaciones de los valores característicos del Módulo Resistente (MOR), el Módulo de Elasticidad Global (MOE) y la Densidad, según lo establecido en las Normas IRAM 9663 y 9664. Se disponen elementos multilaminados de sección transversal rectangular y se presentan los resultados obtenidos de MOR, MOE y Densidad, de una muestra de sesenta vigas ensayadas a flexión.
Abstract
Using varieties of poplar forest implanted in southern Mendoza Province, in Argentine Republic, is generally for the food industry, construction industry, and some simple home furniture. The peculiarity is that is not performed a correct traceability of each tree species and are marketed it without proper identification of its origin. In order to be able to use poplar wood for structural purposes and in particular to make glued laminated timbers elements, the mechanical characterization of wood is performed, using for this purpose tables and then checking the properties via rafters Determinations of the characteristic values Resistant Module (MOR), the Global Modulus of Elasticity (MOE) and the Density, as established in the 9663 and 9664 Standards IRAM, are performed. Multilayered elements of rectangular cross section are performed, and the results of MOR, MOE and Density are presented, for a sixty sample beams tested at bending.
Introducción
El uso que se da a las variedades forestales de álamo implantadas en el sur de la Provincia de Mendoza (en los departamento de San Rafael, General Alvear y Malargüe), que en general se limitan a los clones Populus nigra cv italica (álamo criollo) y el Populus x canadensis I-214 y Guardi, es habitualmente para la construcción de cajones utilizados para el transporte de frutas y hortalizas; bandejas empleadas para el secado de diversas frutas, como ciruelas, duraznos y peras, en la industria alimentaria; para puntales y armado de tableros usados como encofrados en la industria de la construcción y para puertas, ventanas y algunos muebles sencillos en carpintería para el hogar.
La particularidad en la comercialización de este tipo de madera es que no se realiza una correcta trazabilidad de cada una de las especies forestales, y se ofrece en el comercio con una sola denominación de “madera de álamo”, sin ningún tipo de identificación respecto del origen ni el clon.
Con el propósito de que se pueda utilizar la madera de álamo con fines estructurales, tanto utilizando secciones transversales de madera aserrada como así también poder realizar elementos de madera multilaminada encolada, se realiza el estudio para la determinación de las propiedades mecánicas y la densidad. Con respecto a las propiedades mecánicas se determinan la Resistencia a la Flexión, que se identifica con la sigla MOR y el módulo de Elasticidad, que se identifica con la sigla MOE.
Se lleva a cabo el estudio inicial con secciones transversales aserradas en forma de tablas (125 mm de ancho por 25 mm de altura) y se contrastan los valores resultantes para las tablas con datos obtenidos de secciones aserradas en forma de alfajías (50 mm de ancho por 75 mm de altura), los cuales se repiten con un intervalo de tiempo de 7 años.
También se realiza el estudio de las propiedades mecánicas y la densidad de elementos multilaminados encolados de sección transversal rectangular de 50 mm de ancho por 100 mm de altura, ejecutados con tablas de madera de álamo de la mejor clase, clasificada de manera visual.
Determinación de las propiedades mecánicas y la densidad
Secciones aserradas con sección transversal en forma de tablas
Se desarrolla el estudio a un grupo de 160 probetas de madera aserrada de sección transversal aproximada de 125 mm de ancho y 25 mm de altura y una longitud de 500 mm. Las mismas se obtienen en aserraderos de la ciudad de San Rafael. Los ensayos se realizan siguiendo las directivas establecidas en las normas IRAM 9664 – Madera Estructural – Determinación de los valores característicos de las propiedades mecánicas y la densidad e IRAM 9663 – Estructuras de Madera – Madera aserrada y madera laminada encolada para uso estructural – Determinación de algunas propiedades físicas y mecánicas.
Previo a la realización de los ensayos a flexión de las probetas, que se realizan hasta alcanzar la rotura, se caracteriza cada una de ellas, llevando a cabo una serie de mediciones y determinaciones, siendo las más significativas las correspondientes a la medición de la sección transversal promedio, la observación de la presencia o no de médula y la medición de la ubicación y las dimensiones de los nudos, a fin de determinar la nudosidad. En los nudos individuales, se calcula la nudosidad como el cociente entre la medida del nudo mayor y el ancho de la superficie en la cual se manifiesta. La medida del nudo se expresa como la distancia entre las tangentes a él que sean paralelas al eje de la pieza. Si un mismo nudo se manifiesta en distintas superficies de la pieza, la nudosidad se calcula en forma independiente en cada una de ellas. En los nudos de arista, la nudosidad se expresa como el menor valor de los correspondientes a las dos superficies donde se manifiesta.
La determinación de la resistencia a flexión (MOR) se efectúa para cada una de las probetas y posteriormente se realiza un ajuste para una altura de referencia de 150 mm, según se establece en la norma IRAM 9664. Los valores obtenidos no deben ser corregidos por el contenido de humedad.
La probeta se debe cargar en flexión sobre dos puntos simétricos separados una distancia igual a 6 veces la altura, en los tercios centrales, con una longitud total entre apoyos igual a 18 veces la altura. La probeta debe quedar simplemente apoyada y la carga se debe aplicar con una velocidad constante de avance del cabezal de carga que no debe superar los (0,003 de la altura) mm/s. El valor de la resistencia a flexión debe corregirse a un canto de referencia de 150 mm, dividiendo por

(1)
donde:
d = canto o altura de la probeta de ensayo
La determinación del módulo de elasticidad según lo establecido en la norma IRAM 9663 se puede disponer de manera local o global. Se determina para cada una de las probetas y se realiza una corrección en función del contenido de humedad, según lo establecido en la norma IRAM 9664.
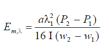
Para el caso de la determinación del módulo de elasticidad local se ensaya una probeta de longitud entre apoyos de 18 veces la altura, con aplicación de las cargas en dos puntos simétricos en los tercios centrales. El cabezal de carga se aplica con una velocidad constante que no debe superar los (0,003 d) mm/s. La carga máxima que se aplique no debe superar el 0,4 Pmáx y no debe dañar la probeta, siendo el valor de Pmáx el valor máximo estimado de resistencia de la probeta. Debe tomarse como deformación la media de las mediciones en ambas caras en el eje neutro, y debe medirse en el punto medio de un segmento de longitud igual a 5 (cinco) veces la altura de la probeta, en el tramo central. La expresión de cálculo es la siguiente:

(2)
donde:
(P2 – P1) = el incremento de carga en Newtons en la recta de regresión con un coeficiente de correlación de 0,99 o mejor
(w2 – w1) = el incremento de deformación en milímetros correspondiente a P2 – P1
a = distancia entre un punto de carga y el apoyo más próximo
l 1 = longitud base de medida utilizada para la determinación del módulo de elasticidad longitudinal, en milímetros
I = momento de inercia en milímetros elevados a la cuarta potencia
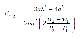
Para la determinación del módulo de elasticidad global, el ensayo se realiza con las mismas características que para el caso del módulo de elasticidad local, efectuándose la medición de la deformación en el centro de la luz y en el centro del borde traccionado. Si se mide en el eje neutro debe tomarse la dimensión de las mediciones realizadas en ambas caras de las probetas. La expresión de cálculo es la siguiente:

(3)
donde:
(P2 P1) = el incremento de carga en Newtons en la recta de regresión con un coeficiente de correlación de 0,99 o mejor
(w2 w1) = el incremento de deformación en milímetros correspondiente a P2 – P1
a = distancia entre un punto de carga y el apoyo más próximo
l = luz en flexión, en milímetros
b = ancho de la sección transversal en un ensayo de flexión, en milímetros
d = altura de la sección en los ensayos de flexión, en milímetros
Se determina el contenido de humedad de cada una de las muestras ensayadas según lo establecido en la Norma IRAM 9532 – Maderas. Método de determinación de la humedad, y se corrigen los valores del módulo de elasticidad según lo establecido en la norma IRAM 9664 de la siguiente manera; las probetas cuyo contenido de humedad esté comprendido entre el 8% y el 18% deben ajustarse al 12%. Las probetas cuyo contenido de humedad sea mayor del 18% deben corregirse desde un contenido de humedad del 18% y no desde su contenido de humedad real. Para el módulo de elasticidad la corrección será del 1% por cada variación del 1% del contenido de humedad. Las correcciones deben realizarse de forma que las propiedades aumenten si los datos se corrigen desde un contenido de humedad mayor y viceversa.
La determinación de la densidad se aplica para cada una de las probetas, utilizando un trozo de la misma próximo al tramo central. Luego se realiza una corrección en función del contenido de humedad y según lo establecido en la norma IRAM 9664, que establece que cuando el contenido de humedad sea menor del 12% la densidad debe aumentarse un 0,5% por cada 1% de variación del contenido de humedad y viceversa.
Se presentan los resultados obtenidos de resistencia a flexión, módulo de elasticidad y densidad en forma de tablas, incluyéndose los valores mínimo, medio y máximo, corregidos, la desviación estándar, el coeficiente de variación (COV) y el valor característico 5% (VC 5%), de las distintas muestras.
En la Tabla 1 se incluyen los resultados de 160 probetas y en la Tabla 2 los resultados de todas las probetas que no presentaron presencia de médula, que alcanzaron el número de 66 probetas.
Se realiza la determinación de la nudosidad de cada una de las probetas y se clasifican los resultados para los valores de nudosidad inferiores a 1/3 y sin presencia de médula, y los comprendidos entre valores de 1/3 y 2/3 de nudosidad, sin importar la presencia o no de médula. Por similitud a la clasificación establecida en la Normas IRAM 9662-4, Madera laminada encolada estructural – Clasificación visual de las tablas por resistencia – Parte 4: Tablas de álamo, se define a las probetas sin médula y nudosidad inferior a 1/3 como Clase 1 y las probetas con nudosidad mayor a 1/3 y menor a 2/3, como Clase 2, aceptándose la presencia de médula. Se presentan en Tabla 3 los valores de Clase 1 (66 probetas) y en Tabla 4 los resultados obtenidos para probetas de Clase 2 (52 probetas).
|
MOR N/mm2 |
MOE N/mm2 |
DENSIDAD Kg/m3 |
|
|
21.9 |
4196 |
333 |
Mínimo |
|
39.5 |
8201 |
423 |
Medio |
|
58.9 |
11818 |
557 |
Máximo |
|
8.5 |
1639 |
53 |
Desviación |
|
0.21 |
0.20 |
0.13 |
COV |
|
25.6 |
5504 |
336 |
VC 5% |
Tabla 1. Todas las probetas – Tablas.
|
MOR N/mm2 |
MOE N/mm2 |
DENSIDAD Kg/m3 |
|
|
22.4 |
5039 |
333 |
Mínimo |
|
40.9 |
8244 |
423 |
Medio |
|
58.9 |
11818 |
540 |
Máximo |
|
8.7 |
1566 |
54 |
Desviación |
|
0.21 |
0.19 |
0.13 |
COV |
|
26.6 |
5668 |
335 |
VC 5% |
Tabla 2. Probetas sin médula – Tablas.
|
MOR N/mm2 |
MOE N/mm2 |
DENSIDAD Kg/m3 |
|
|
24.1 |
5039 |
333 |
Mínimo |
|
42.5 |
8372 |
431 |
Medio |
|
58.9 |
11818 |
540 |
Máximo |
|
8.5 |
1551 |
54 |
Desviación |
|
0.20 |
0.19 |
0.12 |
COV |
|
28.5 |
5821 |
343 |
VC 5% |
Tabla 3. Probetas Clase 1 – Tablas.
|
MOR N/mm2 |
MOE N/mm2 |
DENSIDAD Kg/m3 |
|
|
24.0 |
5317 |
342 |
Mínimo |
|
38.0 |
8323 |
414 |
Medio |
|
58.7 |
11805 |
557 |
Máximo |
|
8.0 |
1720 |
52 |
Desviación |
|
0.21 |
0.21 |
0.12 |
COV |
|
24.9 |
5494 |
329 |
VC 5% |
Tabla 4. Probetas Clase 2 – Tablas.
Se observa que los valores mayores de resistencia a la flexión y densidad (VC 5%) y del módulo de elasticidad (Medio), se obtienen para el caso de las probetas Clase 1.
Secciones aserradas con sección transversal en forma de alfajías
Se realiza el estudio a un grupo de 60 probetas de madera aserrada de sección transversal aproximada de 50 mm de ancho y 75 mm de altura y una longitud de 1.500 mm. Al igual que para el caso de las tablas las probetas se obtienen en aserraderos de la ciudad de San Rafael. Los ensayos se desarrollan siguiendo las especificaciones indicadas en las normas, según lo detallado en el artículo anterior.
A diferencia de la determinación realizada para las secciones transversales en forma de tablas, se determina en este caso el módulo de elasticidad local, para establecer la relación entre el módulo de elasticidad global y el módulo de elasticidad local.
Se presentan en la Tabla 5 los resultados obtenidos para todas las probetas y en la Tabla 6 los resultados para las probetas que no presentan presencia de médula:
|
MOR N/mm2 |
MOE N/mm2 |
DENSIDAD Kg/m3 |
|
|
10.7 |
4036 |
338 |
Mínimo |
|
29.1 |
8493 |
426 |
Medio |
|
50.8 |
17134 |
622 |
Máximo |
|
9.7 |
2876 |
56 |
Desviación |
|
0.3 |
0.34 |
0.13 |
COV |
|
13.2 |
3761 |
334 |
V.C. 5% |
Tabla 5. Todas las probetas – Alfajías.
|
MOR N/mm2 |
MOE N/mm2 |
DENSIDAD Kg/m3 |
|
|
10.7 |
4036 |
338 |
Mínimo |
|
32.7 |
8786 |
423 |
Medio |
|
50.8 |
13994 |
622 |
Máximo |
|
10.3 |
2714 |
60.3 |
Desviación |
|
0.31 |
0.31 |
0.14 |
COV |
|
15.8 |
4321 |
324 |
V.C. 5% |
Tabla 6. Probetas sin médula – Alfajías.
Se presentan los resultados obtenidos para probetas Clase 1 en Tabla 7 y para probetas Clase 2 en Tabla 8.
|
MOR N/mm2 |
MOE N/mm2 |
DENSIDAD Kg/m3 |
|
|
28.1 |
4036 |
363 |
Mínimo |
|
39.4 |
9560 |
416 |
Medio |
|
50.8 |
13994 |
567 |
Máximo |
|
7.3 |
2825 |
49 |
Desviación |
|
0.19 |
0.30 |
0.12 |
COV |
|
27.3 |
4913 |
336 |
VC 5% |
Tabla 7. Probetas Clase 1 – Alfajías.
|
MOR N/mm2 |
MOE N/mm2 |
DENSIDAD Kg/m3 |
|
|
10.7 |
4060 |
338 |
Mínimo |
|
27.4 |
7872 |
438 |
Medio |
|
40.9 |
15082 |
622 |
Máximo |
|
8.6 |
2839 |
63 |
Desviación |
|
0.30 |
0.36 |
0.14 |
COV |
|
13.2 |
3206 |
334 |
V.C. 5% |
Tabla 8. Probetas Clase 2 – Alfajías.
Se observa que los mayores valores de resistencia a la flexión, módulo de elasticidad y densidad son para el caso de probetas Clase 1.
Para el caso particular de probetas de Clase 1 la relación entre el módulo de elasticidad global (obtenido para las tablas) respecto del módulo de elasticidad local (obtenido para las alfajías) alcanza un valor de 0,88 (8372 N/mm2/9560 N/mm2).
Se desarrolla el ensayo de un nuevo grupo de probetas aserradas con forma de alfajías de 43 mm de ancho, en promedio, y 68 mm de altura, en promedio. Las probetas se han obtenido en distintos proveedores y con una diferencia de tiempo de las anteriores de 7 años. Se determinan el módulo resistente a flexión, el módulo de elasticidad global y la densidad. Los resultados de todas las probetas se muestran en Tabla 9 y los de las probetas sin médula en Tabla 10.
|
MOR N/mm2 |
MOE N/mm2 |
DENSIDAD Kg/m3 |
|
|
24.1 |
4842 |
335 |
Mínimo |
|
42.8 |
10480 |
433 |
Medio |
|
77.5 |
15743 |
639 |
Máximo |
|
11.1 |
2461 |
63 |
Desviación |
|
0.26 |
0.23 |
0.15 |
COV |
|
24.5 |
6431 |
329 |
VC 5% |
Tabla 9. Todas las probetas – Alfajías Nuevas.
|
MOR N/mm2 |
MOE N/mm2 |
DENSIDAD Kg/m3 |
|
|
24.1 |
4842 |
335 |
Mínimo |
|
42.4 |
10310 |
429 |
Medio |
|
77.5 |
15743 |
639 |
Máximo |
|
11.1 |
2555 |
65 |
Desviación |
|
0.26 |
0.25 |
0.15 |
COV |
|
24.1 |
6108 |
321 |
VC 5% |
Tabla 10. Probetas sin médula – Alfajías Nuevas.
Se observa la similitud entre los resultados debido a que la mayoría de las probetas no presentaban presencia de médula. Los resultados obtenidos para probetas Clase 1 se observan en Tabla 11 y para probetas Clase 2 en Tabla 12.
|
MOR N/mm2 |
MOE N/mm2 |
DENSIDAD Kg/m3 |
|
|
33.1 |
6864 |
364 |
Mínimo |
|
46.6 |
11129 |
444 |
Medio |
|
77.5 |
15734 |
639 |
Máximo |
|
11.3 |
2212 |
66 |
Desviación |
|
0.24 |
0.20 |
0.15 |
COV |
|
28.1 |
7491 |
335 |
VC 5% |
Tabla 11. Probetas Clase 1 – Alfajías Nuevas.
|
MOR N/mm2 |
MOE N/mm2 |
DENSIDAD Kg/m3 |
|
|
24.8 |
4842 |
335 |
Mínimo |
|
40.7 |
9930 |
428 |
Medio |
|
60.0 |
14553 |
540 |
Máximo |
|
9.5 |
2648 |
61 |
Desviación |
|
0.23 |
0.27 |
0.14 |
COV |
|
25.1 |
5574 |
327 |
VC 5% |
Tabla 12. Probetas Clase 2 – Alfajías Nuevas.
Secciones multilaminadas encoladas
Se compone un grupo de sesenta (60) probetas de madera multilaminada encolada de sección transversal rectangular de aproximadamente 50 mm de ancho y 100 mm de altura y 2.000 mm de longitud. Las probetas se elaboran en un establecimiento industrial que confecciona habitualmente elementos multilaminados con madera de pino, de la ciudad de San Rafael.
Se utilizan para cada una de las probetas cuatro tablas de aproximadamente 25 mm de espesor y 50 mm de ancho, cuidando que las dos tablas de los cuartos exteriores no presenten nudos o tengan una nudosidad menor que 1/3 y los nudos de las tablas de los dos cuartos interiores presenten una nudosidad menor que 2/3, para obtener un producto de Grado 1, según se establece en la norma IRAM 9660-1. En la Figura 1 se muestra un grupo de los elementos elaborados.

Figura 1. Probetas multilaminadas.

Figura 2. Dispositivo de ensayo.
Se llevan a cabo los ensayos según las especificaciones establecidas en las normas respectivas, según se detalló anteriormente. En la Figura 2 se observa el dispositivo de ensayo utilizado.
Los valores de los resultados obtenidos durante los ensayos correspondientes a la resistencia a flexión, módulo de elasticidad global y densidad se presentan en la Tabla 13.
|
MOR N/mm2 |
MOE N/mm2 |
DENSIDAD Kg/m3 |
|
|
14.6 |
8313 |
398 |
Mínimo |
|
33.7 |
9968 |
457 |
Medio |
|
49.3 |
12184 |
504 |
Máximo |
|
7.3 |
912 |
24 |
Desviación |
|
0.22 |
0.09 |
0.05 |
COV |
|
21.7 |
8468 |
417 |
V.C. 5% |
Tabla 13. – Todas las probetas – Laminado encolado.
Se determina la humedad de todas las probetas para aplicar las correcciones correspondientes del MOE y la Densidad, resultando un valor promedio para todas las probetas y para el momento del ensayo del 9%.
COMPARACIÓN DE RESULTADOS
Se crea una tabla comparativa para cada una de las variables: resistencia a flexión, módulo de elasticidad y densidad, en las cuales se incluyen los valores obtenidos para tablas, alfajías y secciones multilaminadas. Los valores de tablas y alfajías se incluyen solamente los obtenidos para probetas Clase 1, pretendiendo hacer una comparación de elementos de la misma clase. Los valores se presentan en las Tablas N° 14, 15 y 16.
Con respecto a la resistencia a flexión se observa que los valores del VC 5% para el caso de las tablas y las alfajías dan valores muy similares siendo la diferencia entre los mismos del 4%. Con respecto al valor correspondiente a las secciones multilaminadas encoladas se aprecia una disminución en el valor de aproximadamente un 21%. La dispersión de los valores es similar para todos los casos.
|
MOR [N/mm2] |
||||
|
Tablas |
Alfajías |
Alfajías-Nuevo |
Laminados |
|
|
24.1 |
28.1 |
33.1 |
14.6 |
Mínimo |
|
42.5 |
39.4 |
46.6 |
33.7 |
Medio |
|
58.9 |
50.8 |
77.5 |
49.3 |
Máximo |
|
8.5 |
7.3 |
11.3 |
7.3 |
Desviación |
|
0.20 |
0.19 |
0.24 |
0.22 |
COV |
|
28.5 |
27.3 |
28.1 |
21.7 |
VC 5% |
Tabla 14. Resistencia a flexión – Clase 1.
|
MOR [N/mm2] |
||||
|
Tablas (Global) |
Alfajías (Global) |
Alfajías-Nuevo (Global) |
Laminados (Global) |
|
|
5039 |
4036 |
6864 |
8313 |
Mínimo |
|
8372 |
9560 |
11129 |
9968 |
Medio |
|
11818 |
13994 |
15734 |
12184 |
Máximo |
|
1551 |
2825 |
2212 |
912 |
Desviación |
|
0.19 |
0.30 |
0.20 |
0.09 |
COV |
|
5821 |
4913 |
7491 |
8468 |
VC 5% |
Tabla 15. Módulo de Elasticidad – Clase 1.
|
Densidad [kg/m3] |
||||
|
Tablas |
Alfajías |
Alfajías- Nuevo |
Laminados |
|
|
333 |
363 |
364 |
398 |
Mínimo |
|
431 |
416 |
444 |
457 |
Medio |
|
540 |
567 |
639 |
504 |
Máximo |
|
54 |
49 |
66 |
24 |
Desviación |
|
0.12 |
0.12 |
0.15 |
0.05 |
COV |
|
343 |
336 |
335 |
417 |
V.C. 5% |
Tabla 16. Densidad – Clase 1
Con respecto a la resistencia a flexión se observa que los valores del VC 5% para el caso de las tablas y las alfajías dan valores muy similares siendo la diferencia entre los mismos del 4%. Con respecto al valor correspondiente a las secciones multilaminadas encoladas se aprecia una disminución en el valor de aproximadamente un 21%. La dispersión de los valores es similar para todos los casos.
En los valores medios del módulo de elasticidad global, se observa una mejora del valor de las secciones multilaminadas respecto de los valores de las tablas, pero no así respecto del valor de las alfajías. La dispersión de los valores es mucho menor para el caso de las secciones multilaminadas encoladas.
Para el caso de la densidad los valores de tablas y alfajías son similares (varían un 2%) mientras que para el caso del laminado da un valor 19% mayor. Aunque en general los valores de dispersión son menores que los obtenidos para la determinación de las propiedades mecánicas, se puede apreciar un valor mucho menor para el caso de las secciones multilaminadas.
Se observa de las Tablas 8 y 12, que el valor VC 5% de la resistencia a flexión para alfajías de Clase 2, presentan una diferencia del 90%, por lo que habría que analizar con mayor detalle esta situación, continuando con los ensayos de un mayor grupo de probetas.
Se presentan en las Figuras 3, 4 y 5, la relación entre los valores de resistencia a la flexión (MOR) y módulo de elasticidad (MOE) para todos los resultados obtenidos, de tablas, alfajías y laminados, respectivamente, solamente para Clase 1.
Se destaca que la resistencia a flexión aumenta a medida que aumenta el módulo de elasticidad para cualquiera de los casos, con relaciones similares para los casos de tablas y alfajías, observando un aumento menor del MOR al incrementarse el valor del MOE, para el caso de los elementos multilaminados encolados.

Figura 3. Relación MOR-MOE para tablas.

Figura 4. Relación MOR-MOE para alfajías nuevas.

Figura 5. Relación MOR-MOE para laminados.
Se presentan en Figura 6 y 7 la variación de los valores de MOR en relación a la nudosidad para el caso de tablas y alfajías. Se observa que la resistencia muestra una tasa de decrecimiento mayor para el caso de los resultados obtenidos para las alfajías.

Figura 6. Relación MOR-Nudosidad para tablas.

Figura 7. Relación MOR-Nudosidad para alfajías.
Conclusiones
Se ensayan una serie de 160 probetas de sección transversal de 25 mm de espesor y 125 mm de ancho como valor nominal, 60 probetas de sección transversal de 50 mm de ancho y 75 mm de altura, y se repiten los ensayos 7 años después con esa misma sección transversal en 50 probetas y posteriormente una serie de 60 probetas de sección rectangular de 50 mm de ancho y 100 mm de altura, de madera multilaminada encolada, todas de álamo, de las cuales no se conoce en detalle el clon correspondiente ni la procedencia de su origen de cultivo, las cuales se han obtenido de distintos aserraderos de la ciudad de San Rafael, provincia de Mendoza.
En función de los resultados obtenidos se deducen una serie de consideraciones que se detallan a continuación.
Los valores VC 5% de la resistencia a flexión de tablas y alfajías de Clase 1, son similares. El valor obtenido para las secciones multilaminadas encoladas también de Grado 1, da un resultado menor de aproximadamente 78% del valor promedio de la resistencia de tablas y alfajías.
El valor medio del módulo de elasticidad global de los elementos laminados alcanza un valor similar al del módulo de elasticidad global promedio de las tablas y alfajías, resultando un 19% mayor que el valor de las tablas.
El valor medio del módulo de elasticidad global de las tablas da un 75% del valor medio de los ensayos nuevos de alfajías, lo cual debiera ser contrastado con una nueva serie de ensayos.
El valor característico 5% de densidad para tablas y alfajías, presenta valores similares, notando un aumento del 23% para el caso de los elementos laminados, con una baja dispersión de los mismos.
El incremento del valor del MOR a medida que aumenta el valor del MOE es mucho más acentuado para el caso de tablas y alfajías, y para el caso de las secciones laminadas encoladas la variación es mucho menor.
El aumento en el valor de la nudosidad produce una disminución del valor del MOR para los casos de tablas y alfajías. Para el caso del laminado encolado no se puede realizar esa comparación ya que los elementos fueron elaborados con tablas sin nudos.
Agradecimientos
A la Universidad Tecnológica Nacional por el apoyo dado para el desarrollo del proyecto de investigación. Al Secretario de Ciencia y Tecnología de la Facultad Regional San Rafael, Ing. Felipe Genovese, por el soporte de financiamiento necesario para acceder al equipamiento y el apoyo para llevar a cabo el proyecto de investigación.
A los alumnos becarios de Ingeniería Civil, Florencia Prósperi, Adelina Serrano y Nicolás Cortizo, por su colaboración en la faz experimental y el procesamiento de la información, que hicieron posible el desarrollo experimental del proyecto.
Referencias bibliográficas
Instituto Argentino de Normalización y Certificación. (1963). Norma IRAM 9532. Maderas. Método de determinación de la humedad.
Instituto Argentino de Normalización y Certificación. (2006). Norma IRAM 9660-1. Madera laminada encolada estructural. Parte 1: Clases de resistencia y requisitos de fabricación y control.
Instituto Argentino de Normalización y Certificación. (2006). Norma IRAM 9660-2. Madera laminada encolada estructural. Parte 2: Métodos de ensayo.
Instituto Argentino de Normalización y Certificación. (2006). Norma IRAM 9662-1. Madera laminada encolada estructural. Clasificación visual de las tablas por resistencia. Parte 1: Tablas de pino Paraná (Araucaria angustifolia).
Instituto Argentino de Normalización y Certificación. (2006). Norma IRAM 9662-2. Madera laminada encolada estructural. Clasificación visual de las tablas por resistencia. Parte 2: Tablas de eucalipto (Eucalyptus grandis).
Instituto Argentino de Normalización y Certificación. (2006). Norma IRAM 9662-3. Madera laminada encolada estructural. Clasificación visual de las tablas por resistencia. Parte 3: Tablas de pino taeda y ellioti (Pinus taeda y elliottii).
Instituto Argentino de Normalización y Certificación. (En estudio). Norma IRAM 9662-4. Madera laminada encolada estructural. Clasificación visual de las tablas por resistencia. Parte 4: Tablas de álamo (Populus deltoides).
Instituto Argentino de Normalización y Certificación. (2011). Norma IRAM 9663. Estructuras de madera. Madera aserrada y madera laminada encolada para uso estructural. Determinación de algunas propiedades físicas y mecánicas.
Instituto Argentino de Normalización y Certificación. (2011). Norma IRAM 9664. Madera estructural. Determinación de los valores característicos de las propiedades mecánicas y la densidad.






















