Bases para Aerogeneradores
El trabajo aborda criterios clave para el diseño y construcción de bases aisladas de hormigón armado para aerogeneradores, analizando la influencia de la geometría en variables como presiones, rigidez y fatiga, e incorporando aspectos constructivos relevantes.
ALGUNOS ASPECTOS RELEVANTES EN EL DISEÑO Y CONSTRUCCIÓN DE BASES AISLADAS PARA MOLINOS AEROGENERADORES
Ing. Hugo Donini(1) – Ing. Rodolfo Orler(2)
(1) Ingeniero Civil e Hidráulico. Investigador y docente de las Cátedras de Hormigón I, Hormigón II y Puertos y Vías Navegables, y Auxiliar de la Cátedra Programación Básica y Métodos Numéricos de la Carrera de Ingeniería Civil de la U.N.P.S.J.B. (Sede Trelew). Miembro Plenario de la Asociación de Ingenieros Estructurales. E-mail: hugo.donini@gmail.com.
(2) Ingeniero en Construcciones. Director de la Unidad Ejecutora Provincial – S.C.O.M.C. Chubut. Investigador y profesor Adjunto de la Cátedra de Hormigón I y Hormigón II, y Jefe de Trabajos Prácticos de la Cátedra de Construcciones Metálicas y en Madera de la Carrera de Ingeniería Civil de la U.N.P.S.J.B. (Sede Trelew). Ex – Docente Jefe de Trabajos Prácticos Cátedras de Hormigón I y Hormigón II. Facultad de Ingeniería – Universidad Nacional del Comahue – Neuquén. Miembro Plenario de la Asociación de Ingenieros Estructurales.
Autores del libro “Introducción al Cálculo de Hormigón Estructural” Ed. Nobuko 2º Edición – ISBN 978-987-584-362-2.
Resumen
El presente trabajo expone algunos aspectos relevantes en el diseño y construcción de bases aisladas para molinos aerogeneradores. Se indican criterios de diseño y tareas en la etapa constructiva. Se desarrolla un análisis de la geometría y su incidencia en las variables de diseño, evaluando presiones, armadura requerida, rigidez rotacional, fatiga de materiales, entre otras. Finalmente, se extraen conclusiones referidas a las gráficas obtenidas y tareas relacionadas con la construcción.
Abstract
This paper presents some relevant aspects in the design and construction of foundations for wind turbines. Design criteria are exposed and tasks in the construction stage. It develops an analysis of the geometry and its impact on the design variables, evaluating pressures, steel required, rotational stiffness, fatigue of materials, among others. Finally, conclusions are drawn regarding the graphs obtained and construction-related tasks.
INTRODUCCIÓN
En materia eólica, la potencia instalada existente en el país aumentó de 26,5 MW en 2003 a 141,8 MW en 2012, un incremento del 435%3. Las bases superficiales son una tipología usual en la fundación de molinos eólicos para suelos con adecuada capacidad portante. El presente trabajo procura abordar los aspectos más relevantes relacionados con el diseño y la ejecución de bases aisladas de hormigón armado para este tipo de estructuras, teniendo en cuenta las obras de la provincia del Chubut.
ASPECTOS TEÓRICOS DEL DISEÑO
Los principales pasos a seguir en el diseño resistente de la fundación se pueden sintetizar en la Figura 1.

Figura 1. Diagrama que sintetiza los principales pasos a seguir en el diseño resistente de una base aislada de hormigón armado para aerogeneradores.
Geometría en planta
La geometría en planta de las bases aisladas resulta un aspecto importante al momento de definir el diseño de las mismas, presentándose distintas variantes. Las bases de sección circular permiten absorber de manera más adecuada el cambio de dirección de los esfuerzos transmitidos por los molinos eólicos, pero presentan en contrapartida dificultades para el encofrado y colocación de las barras. Las armaduras se ubican usualmente en dirección radial y circunferencial (Figura 2). Como alternativa, es posible efectuar un armado ortogonal para simplificar el trazado de las mismas (Figura 3).

Figura 2. Esquema de armado circunferencial inferior (a) y superior (b).

Figura 3. Esquema de armado ortogonal inferior (a) y superior (b).
Las fundaciones de sección cuadrada son más sencillas de encofrar y tienen armaduras inferiores dispuestas en dos direcciones ortogonales. Para el caso de insertos metálicos, la armadura superior se coloca radialmente atravesando el mismo, mientras que el resto coincide en dirección con la inferior (Figura 4).

Figura 4. Esquema de armado inferior (a) y superior (b) de bases cuadradas.
.
Las bases octogonales resultan una alternativa a las de sección circular, puesto que presentan un armado y encofrado de mayor simplicidad (Figura 5).

Figura 5. Esquema de armado inferior (a) y superior (b) de bases octogonales.
Sección transversal
La sección transversal de este tipo de bases puede ser de espesor constante o variable. La sección de espesor variable permite optimizar la rigidez con una mayor altura en la zona que rodea al fuste del molino, procurando una mayor resistencia al punzonado y al corte. Sin embargo, es necesario tener especial precaución al momento de calcular las secciones críticas para dichos esfuerzos según la alternativa seleccionada, como se desarrollará posteriormente. El espesor y la forma transversal de la base dependen también del medio de unión con el aerogenerador. Existen básicamente tres métodos de vinculación:
- Inserto anular embebido: consiste en un anillo metálico de una pieza que debe ser colocada y nivelada previamente al hormigonado de la base. El anillo cuenta con una brida inferior y otra superior, y un mecanismo de ajuste para su nivelación, con una desviación máxima permitida respecto del plano horizontal del orden de ± 4 mm. La brida superior es la que vincula a la base con el fuste del molino. La brida inferior es la encargada de transmitir los esfuerzos de flexión, corte y punzonado a la base. Entre las bridas existe una serie de orificios por los que pasa la armadura longitudinal superior. (Figura 6 a).
- Adaptador de acero con pernos a presión: es un adaptador cilíndrico compuesto por una serie de pernos fijos a una brida inferior. En algunos casos la brida inferior se coloca por encima de la armadura y otras por debajo. Es común observar un incremento del espesor de la base en la zona central por debajo del adaptador (Figura 6 b).
- Adaptador de acero con pernos a presión con pedestal: consiste en una serie de pernos de anclaje con una brida inferior pero con un pedestal con una altura superior al de las alternativas anteriores (Figura 6 c).

Figura 6. Esquema ilustrativo de las secciones típicas y de los medios de unión.
.
Cálculos y verificaciones bajo condiciones de servicio
1. Verificación de tensiones admisibles en el suelo
Las bases de aerogeneradores se encuentran sometidas a fuertes momentos flectores, lo que origina diagramas triangulares de presiones, desaprovechando la superficie de apoyo sobre el suelo. Según la referencia 1, es posible calcular la capacidad resistente del suelo de una fundación circular en función del área efectiva Aeff de forma elíptica, según la expresión (1).

donde e es la excentricidad del centro de aplicación de cargas medida respecto del centro de la base y R es el radio de la circunferencia de la base.

Figura 7. Área efectiva para fundaciones circulares y octogonales (referencia 1).
El eje mayor le y el menor be de la elipse se calculan con las ecuaciones (2) y (3).

El área efectiva puede ser representada por un rectángulo equivalente de las siguientes dimensiones:

La mencionada publicación establece que el diagrama de presiones tiene la misma forma para el caso de polígonos con doble simetría (octógonos, por ejemplo), si se los inscribe por dentro de la circunferencia equivalente (Figura 7). También es posible calcular la presión sobre el suelo bajo la condición de un diagrama triangular según los lineamientos expuestos en la referencia 4 (Figura 8).

Figura 8. Coeficientes para determinar la presión máxima sobre el suelo de una base circular
y con una distribución triangular de presiones (referencia 4).
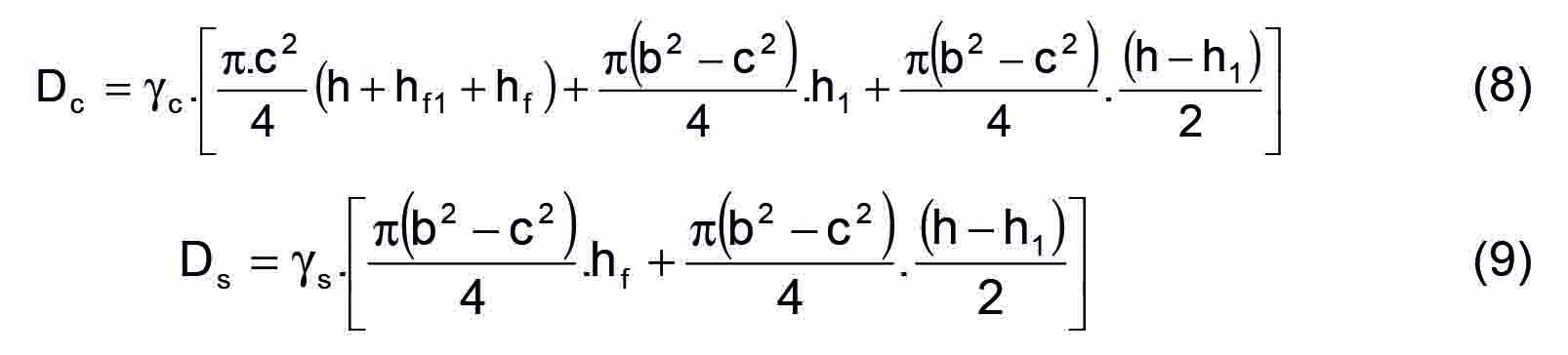
2. Verificación al volcamiento
La verificación al volcamiento es uno de los principales aspectos a evaluar en el diseño de las bases para molinos eólicos. Los datos mínimos requeridos para esta verificación son:
– Lado de la base (b)
– Atura del fuste (hf)
– Altura del anillo respecto del fuste de hormigón (hf1)
– Diámetro del fuste (c)
– Altura máxima (en caso de elegir una sección de espesor variable) (h)
– Altura mínima o de talón (h1)
– Altura del suelo sobre la base junto al fuste
– Volumen del terreno
– Densidad del suelo
– Peso propio de la base, incluido el fuste (Dc)
– Peso propio del suelo de relleno, descontando el fuste (Ds)
– Fuerza axil de servicio transmitida por el molino (Fz)
– Fuerza horizontal de servicio transmitida por el molino (Fx)
– Momento flector de servicio transmitido por el molino (My)

Figura 9. Esquema de una base circular.
La verificación al volcamiento se efectúa considerando el momento flector total externo Me de la forma:

donde: DT = Dc + Ds, R = b / 2 y ϒv ≥ 1,8. Para el cálculo del peso propio Dc de una base de sección circular y del suelo Ds (descontando el fuste hf1), pueden utilizarse las siguientes expresiones:

3. Verificación al deslizamiento

con ϒd ≥ 1,5 y Φ el ángulo de fricción interna del suelo. A su vez, la referencia 1 indica que las fundaciones sujetas a cargas horizontales deben verificar para condiciones drenadas la ecuación (11):

con c el coeficiente de cohesión del suelo. Para condiciones no drenadas en arcillas, debe verificarse:

Adicionalmente, debe constatarse:

4. Verificación a fisuración
Según la referencia 1, es posible calcular el ancho de fisura w en mm según la expresión (14):

con

la suma de los diámetros de barra en la zona traccionada.

Figura 10. Área activa sometida a tracción del hormigón para el cálculo a fisuración.
.

Para el cálculo de las cargas externas, suele utilizarse el 60% de las máximas cargas operativas de los aerogeneradores. Los parámetros α, φb y ϒ se obtienen por iteraciones de:

As = sección de armadura
M = momento flector de servicio
El valor calculado de w debe estar comprendido en un intervalo de 0,2-0,3 mm.
Para condiciones de exposición más severas entre 0,1-0,2 mm.
5. Verificación a fatiga de los materiales
El cálculo a fatiga de los materiales que componen el hormigón de las bases suele efectuarse mediante el Model Code CEB-FIP 90 (artículo 6.7.3). El procedimiento simplificado es aplicable a estructuras sometidas a no más de 108 ciclos. Los esfuerzos a considerar son los momentos no mayorados y generados por la acción del viento, el peso propio de la base y el peso del suelo.
5.1 Acero
Se verifican los requerimientos a fatiga si el intervalo de tensiones máximas calculadas, maxΔσSs, para una combinación frecuente de estados de carga satisface la expresión (17).

donde ΔσRsk es la resistencia característica a fatiga para 108 ciclos que surge de la Tabla 6.7.1 del Model Code CEB-FIP 90 (Tabla 1).

Tabla 1. Parámetros de las curvas de resistencia característica a fatiga para las armaduras en hormigón armado (referencia 3).
.
Considerando los diámetros usuales utilizados en las bases de molinos eólicos y el número de ciclos, se utiliza comúnmente un valor de ΔσRsk de 95 MPa. La verificación a fatiga debe efectuarse tanto para las armaduras a flexión como para las de punzonado.
5.2 Hormigón
No es necesario llevar a cabo un cálculo a fatiga más preciso si se verifican las siguientes expresiones para las tensiones de compresión σc,máx y de tracción σct,máx bajo combinaciones frecuentes de estados de carga.
5.2.1. Compresión

donde ηc es el factor promedio que considera el gradiente de tensiones.

con:
|σc1| = la menor tensión de compresión en valor absoluto medida a una distancia no mayor a 300 mm de la superficie sometida a combinaciones de carga frecuentes.
|σc2| = la mayor tensión de compresión en valor absoluto medida a una distancia no mayor a 300 mm de la superficie sometida a la misma combinación de estados de carga que |σc1|.

Figura 11. Definición de las tensiones |σc1| y |σc2|.
.
En general, teniendo en cuenta la altura total de las bases a las que se hace referencia, es posible simplificar el cálculo haciendo al coeficiente ηc =1.

s = coeficiente que depende del tipo de cemento. s = 0,25 para cementos normales.
t = edad en días. Para considerar el caso más desfavorable t → ∞.
5.2.2. Tracción

Un aspecto importante es considerar que en los cálculos anteriores, la resistencia característica del hormigón según CIRSOC 201/05 corresponde a un cuantil del 10%, mientras el Model Code CEB-FIP 90 utiliza un cuantil del 5% (Art. 2.1.3.2). Ello conlleva a ajustes en el valor a asignar a fck.
6. Verificación de la rigidez de la base
La rigidez total de la fundación depende de la resistencia y características del suelo, así como de los elementos que la componen. La mayoría de los proveedores de molinos eólicos plantean requisitos mínimos en este sentido para las bases de hormigón armado, y en especial, de la componente rotacional. Su importancia radica en la respuesta estructural dinámica ante la acción del viento y los sismos. En la referencia 1 se incluyen expresiones para la determinación de la rigidez estática de las bases que dependen principalmente del módulo de corte dinámico G, el coeficiente de Poisson n, el radio de la fundación R y la profundidad H del/los estrato/s analizado/s. El procedimiento responde a cálculos estáticos, aproximándose a frecuencias de vibraciones nulas. La rigidez dinámica se aparta de este análisis para altas frecuencias de vibración. Sin embargo, el cálculo estático es representativo para fundaciones de aerogeneradores sometidos a cargas generadas por el viento. En zonas sísmicas, se suelen efectuar reducciones de los resultados.

Figura 12. Expresiones para evaluar la rigidez de las bases circulares según el suelo de
fundación (referencia 1).
.
Cálculos y verificaciones bajo condiciones últimas
7. Cálculo por punzonado
Según CIRSOC 201/05, la ecuación que expresa la resistencia al punzonado (o corte en dos direcciones) es la siguiente:
Donde debe cumplirse:

con:
Vc = resistencia a corte desarrollada por el hormigón.
Vs = aporte que absorbe la armadura de corte.
Es usual el armado con barras de armadura para absorber el punzonado como consecuencia de los valores de los esfuerzos transmitidos y de los propios generados. Bajo esta condición, la altura útil d a reemplazar en las ecuaciones anteriores corresponde a la distancia existente entre la brida inferior de ancho t del inserto metálico o de la jaula de pernos de radio Ranillo y la armadura colocada para tomar los esfuerzos de flexión.

Se pueden usar barras en forma de horquillas o estribos de múltiples ramas. La armadura de corte y de punzonado, debe estar vinculada a la armadura longitudinal tanto en la parte superior como en la parte inferior. Los estribos deben estar adecuadamente anclados. El área de la armadura de corte, Av, se calcula con la ecuación (25) y es igual al área de la sección transversal de todas las ramas de armadura.

donde s es la separación entre dos líneas consecutivas de estribos u horquillas. La primera línea de estribos alrededor del fuste del aerogenerador se debe colocar a una distancia no mayor que d/2 medida a partir de la cara del fuste. La separación entre líneas sucesivas de armadura de corte alrededor del fuste no debe ser mayor que d/2 y se puede terminar cuando se verifica la ecuación (26).

Cuando se utiliza armadura de corte, la resistencia proporcionada por el hormigón Vc, no debe ser mayor que

y la resistencia nominal al corte, Vn está limitada a

8. Cálculo a corte
Es habitual que luego de la armadura de punzonado adyacente al núcleo de la base, se prosiga con armadura de corte. Tal disposición dependerá de la altura de la base (rigidez), para cuando sea variable con el diámetro. Las piezas sometidas a corte deben verificar la siguiente expresión:
Vu: resistencia requerida calculada con cargas mayoradas
Vn: resistencia nominal de cada sección
φ = 0,75 (coeficiente de reducción de acuerdo al tipo de rotura)
Vc es la resistencia a corte aportada por el hormigón, que para bases de espesor
constante tiene la forma de la ecuación (28):

Vs es resistencia a corte aportada por el acero:

El esfuerzo absorbido por la armadura debe estar limitado por la expresión (30) para evitar la rotura de las bielas comprimidas del hormigón.

La separación máxima de los estribos es:

9. Cálculo a flexión
La flexión en una base para aerogeneradores debe analizarse tanto para la superficie inferior como la superior. El armado de la cara inferior de la fundación se obtiene a partir del momento flector último generado por el diagrama de presiones y la acción estabilizadora minorada del peso propio del hormigón y del suelo por sobre ella (Dc + Ds) (33). Para el caso de secciones de altura variable, es posible optimizar el uso de acero considerando distintas secciones de cálculo, con variación de la altura útil y de los esfuerzos externos.
El armado de la porción superior de la base toma en cuenta la separación del suelo a causa de las excentricidades que se presentan por el momento externo. Debido a esa separación, el peso propio del hormigón y del suelo (Dc + Ds) genera un momento flector último que tracciona la porción superior de ese “voladizo”.
El cálculo a flexión según CIRSOC 201/05 puede ser desarrollado mediante las siguientes expresiones, en las cuales y para bases de altura variable, debe analizarse el valor dado al ancho bw y la altura útil d:

Para la verificación de la cuantía mínima el artículo 7.12 del Reglamento CIRSOC 201/05 establece un valor de 0,18%, mientras que la referencia 1 indica valores entre 0,25% y 0,50%, para evitar fisuras por contracción y temperatura. En estas estructuras con importantes volúmenes de hormigón, las diferencias de temperatura pueden originarse en el calor de hidratación y las variaciones de la velocidad de disipación. El hormigón del elemento cercano a la superficie tiene la posibilidad de disipar calor con mayor facilidad que el hormigón interior de la masa, y en poco tiempo alcanza la temperatura del aire. Por su parte, la zona interior del hormigón tarda varios días en uniformar su temperatura con el medio ambiente, en general, y en función de la clase y contenido de cemento, en un plazo de 4 a 6 días. Es estos casos se realizan programas de hormigonado que especifican, entre otras cosas, las alturas máximas de “tongadas” (o capas de hormigón colocadas en una etapa) y los tiempos mínimos de llenado de las mismas. En ocasiones se dejan serpentinas en el interior de la masa y por ellas se hace circular agua para regular la elevación de la temperatura. Para las bases con espesores mayores a 2,5 m, es recomendable el hormigonado en tongadas, disponiendo en la cara superior de la primer tongada una armadura en forma de malla con una cuantía Asx=Asy≥0,0018.bw.h*, con h* la altura de la capa tongada del hormigón.
Para la ubicación de las secciones críticas correspondientes a momentos, corte y longitud de anclaje de la armadura en las bases, el Reglamento CIRSOC 201/05 establece (artículo 15.3) que es posible considerar a las columnas o pedestales de hormigón con sección transversal circular de diámetro b o con forma de polígono regular, como elementos de sección cuadrada de igual área de lado c, es decir:

Nuestro caso no corresponde al de una columna de hormigón, por lo que para determinar la forma de la sección equivalente y la posición de los planos de falla a flexión, corte y punzonado deberá aplicarse un criterio más conservador que el aquí expuesto. Esta afirmación se basa en la diferencia de rigideces entre el fuste metálico del aerogenerador y la base de hormigón armado.
Interacción suelo-fundación
Respecto a la modelación de la fundación y su interacción con el suelo, es recomendable aplicar métodos alternativos al de Winkler. A pesar de la facilidad de su aplicación y la simplificación en la modelación del suelo, el método de Winkler posee objeciones al momento de evaluar la interacción suelo-estructura. Se mencionan algunas:
– Los resortes que simulan el suelo no actúan independientemente.
– El comportamiento asentamiento – cargas no es lineal, mientras que el
coeficiente de balasto k asume dicha linealidad.
– Los esfuerzos y deformaciones se pueden encontrar por debajo de los reales.
– No se permite evaluar la influencia de una fundación sobre el entorno.
– No es posible evaluar las variaciones estratigráficas del suelo y la influencia de
la fundación en estratos profundos.
Por otra parte, el hecho de elegir un único valor k en una base de la extensión de las tratadas en este trabajo no parece acertado, ya que éste depende de varios factores:
– Tamaño de la fundación.
– Área tributaria del nudo sobre el que se aplica.
– Variaciones con la profundidad.
– Dependencia del tiempo debido a asentamientos por consolidación y por
consolidación parcial.
Por ejemplo, bajo las condiciones del método de Winkler, una base extensa sometida a una carga uniforme emplazada sobre un suelo perfectamente uniforme se asentaría con los resortes igualmente comprimidos. Sin embargo, el comportamiento real es el de asentamientos mayores en la zona central y menores en el perímetro. Como alternativas, se sugiere el método de resortes pseudoacoplados (ACI 336.2R-88), resortes acoplados, resortes lineales (Kempfert, Hans Georg-2006) o bien el de elementos finitos. Éste último es el que mejor se aproxima
al comportamiento “real”, pudiendo modelar la estratigrafía del suelo, la variación de sus parámetros y visualizar la distribución de presiones en profundidad, entre otros aspectos.
Modelación de las bases
Es conveniente que la fundación sea modelada por elementos finitos como sólidos, evitando utilizar elementos lámina, puesto que impiden conocer la distribución interna de las tensiones, el comportamiento espacial de la fundación, etc. (Figura 13). Es necesario recordar siempre que estos modelos sólo representan una aproximación para el hormigón estructural, el que no posee un comportamiento elástico para altos niveles de esfuerzos.

Figura 13. Modelos de elementos finitos en bases de distinta geometría y espesor
.
Construcción
Materiales componentes del hormigón
Hormigón
En varias ocasiones es necesario el uso de cementos puzolánicos como medida de protección a la agresividad de los áridos. En estos casos es importante definir adecuadamente las curvas de evolución de resistencias. Esto es a los efectos de conocer los momentos para los cuales se pueden transferir las cargas a la fundación, sea por el propio aerogenerador, como las que surgen del proceso constructivo (peso propio del suelo, compactación, montaje, etc.). En el hormigonado del hormigón de limpieza es importante verificar los espesores y niveles de terminación para lograr superficies uniformes de contacto de la base con el suelo y cumplir las tolerancias de los insertos metálicos}
Armaduras
En el proceso de armado de las bases debe verificarse entre otros aspectos:
– Recubrimientos mínimos inferiores y laterales.
– Separaciones entre barras, ya que por debajo de los insertos metálicos existe una alta densidad de armaduras. Debe buscarse que exista una separación mínima para que el hormigón pueda embeber toda la armadura.
– En caso de bases de sección y armado circular, debe verificarse que no se solapen los empalmes de anillos consecutivos.
– Evitar que las armaduras colocadas en adyacencias al inserto no tomen contacto
con él.
– Verificar el correcto atado de las armaduras, en especial el de las de punzonado por su disposición y forma.
– Colocar armaduras superiores de vinculación dispuestas en forma de cruz para evitar desplazamientos relativos de las restantes durante las tareas de inspección y hormigonado.
Colocación del hormigón
Para afectar lo menos posible el comportamiento estructural, generalmente el colado de este tipo de bases se realiza en una sola etapa. Puesto que se trata de grandes volúmenes de hormigón, es necesario llevar un estricto control de la temperatura. Para el control de la temperatura del hormigón es recomendable colocar un mínimo de 2 termopares en la base, uno cercano a la superficie (alrededor de 0,2 m) y del borde lateral (en el orden de los 0,50 m); y el otro a 1,50 metros de la superficie y a aproximadamente 3 metros del lateral. Estos valores pueden requerir modificaciones según las dimensiones totales de la base. Los termopares deben ser fijados a la armadura vertical para evitar que los mismos sean desplazados o doblados durante el colado y la compactación del hormigón. El proceso de hormigonado debe desarrollarse de forma continua y en una sola operación hasta completar el volumen de la base. El hormigón puede ser colado en capas de 0,50 metros de espesor máximo. El inicio del vertido del hormigón de la primera capa debe comenzar en el centro de la base conformando un cono de descarga que se expanda hasta completar una altura de 0,50 metros. La altura de colado del hormigón no debe superar 1,50 metros de altura por gravedad. Durante la primera etapa debe buscarse que el hormigón vertido desde el centro penetre en primer lugar por debajo de las armaduras inferiores de la zona central de la base hasta recubrirlas completamente, asegurando de esta manera que no queden oquedades debajo del inserto metálico. Completada esta tarea se continúa con la tarea de hormigonado en forma circunferencial y con un sentido de avance radial desde el centro hacia los laterales. Una vez terminada esta primera etapa, se procede de igual manera con las etapas siguientes hasta el hormigonado total.
Respecto del asentamiento, es común un valor de 16 cm bajo ensayo de Cono de Abrams, con incorporación de aditivos fluidificantes por el uso de los equipos de bombeo. Sin embargo, la primera etapa de colado del hormigón se emplean asentamientos máximos de 18 cm para lograr un buen hormigonado en la zona inferior ante el alto grado de congestión de armaduras, y un mínimo de 14 cm en la etapa final y por fuera del inserto metálico.
Análisis de la geometría y su incidencia en las variables de diseño
Procedimiento
A partir de las expresiones y aspectos indicados en los párrafos precedentes, se efectuó el análisis de sensibilidad de los principales parámetros que definen el diseño de una fundación de hormigón armado de un aerogenerador. A modo de ejemplo, se anexan los valores de una base circular de sección tronco-cónica para un aerogenerador de 1,8 MW, a la cual se han variado b, h, hf, hf1 y h1. Para el cálculo a flexión se ha utilizado un procedimiento aproximado a los efectos de poder cuantificar la mayor cantidad de variables intervinientes.
Propiedades de la base
f´c = 35 MPa
c = 4,18 m
ϒHº = 24,00 KN/m³
Esfuerzos transmitidos por el aerogenerador
Radio del anillo = 2,09 m
Altura del anillo = 2,30 m
Mmolino = 50600 KNm
Ancho de la virola = 0,33 m
Nmolino = 2457 KN
Vmolino = 712 KN
Propiedades del suelo
ϒs = 16,00 KN/m³
ν= 0,20
Φ = 30º
G = 80 MPa
H(espesor del estrato blando) = 15,90 m
Resultados

Figura 14. Presiones y estabilidad de una base circular de 2,3 m de altura.

Figura 15. Presiones y estabilidad de una base circular de 16 m de diámetro.

Figura 16. Rigidez rotacional y tensiones de fatiga de una base circular de 2,3 m de altura.

Figura 17. Rigidez rotacional de una base circular de 16 m de diámetro.

Figura 18. Armadura radial inferior, superior y de punzonado (h = 2,3 m).

Figura 19. Armadura radial inferior, superior y de punzonado (b = 16 m).
Conclusiones
A partir del análisis aproximado efectuado de los esfuerzos de un aerogenerador sobre una base circular se puede concluir los siguientes aspectos:
– La geometría óptima de una base para aerogeneradores resulta la circular para los cambios de dirección generados por los esfuerzos transmitidos por la superestructura. Las restantes geometrías producen concentración de tensiones en las esquinas que deben ser evaluadas y absorbidas por armaduras adicionales. En contrapartida, la sección circular presenta mayor dificultad en los encofrados y la colocación de la armadura.
– Una alternativa es la base octogonal, aproximando con ocho lados a la circunferencia inscripta equivalente. Tal alternativa presenta una simplificación en el armado y encofrado, aunque posee concentración de presiones en las esquinas. Ello produce un mayor consumo de armaduras que una base de sección circular.
– Se desaconseja el uso de la sección cuadrada, por la existencia en las esquinas de mayores incrementos de tensiones sobre el suelo que las restantes geometrías. A su vez, no presenta una simetría aconsejable frente a los cambios de dirección de las acciones generadas por el viento sobre el aerogenerador. Para cubrir la superficie equivalente de una superficie circular es necesario un mayor volumen de hormigón.
– La presencia de grandes momentos flectores se traduce en tensiones excéntricas en el suelo que desaprovechan buena parte de la superficie de la base. Para lograr dimensiones óptimas de la misma es necesario efectuar un análisis de sensibilidad de los principales parámetros que las definen, como lo es la altura y el diámetro de la fundación para una misma combinación de cargas.
– Las presiones transmitidas al suelo se reducen con el aumento del diámetro de la base por contar con mayor superficie de distribución para las cargas. Con el incremento de la altura de la base, las presiones tienen un mínimo cuando el peso propio de la fundación logra reducir la excentricidad generada por el momento flector externo. Para mayores valores de altura, la tendencia se invierte ya que el peso propio incrementa las presiones máximas en mayor proporción al de la reducción de la excentricidad.
– El coeficiente de seguridad al vuelco tiene mayor incidencia en el diseño de la fundación que el de deslizamiento. El aumento del peso propio de la base (altura y diámetro), mejoran la estabilidad global. De igual manera ocurre con la rigidez rotacional de la base embebida en un estrato resistente de suelo.
– Una adecuada distribución de armaduras para una base de sección circular corresponde aproximadamente entre un 60-40% a la radial inferior, entre un 15-20% la superior, y entre un 20-30% la de punzonado.
– A pesar de no tener el mayor porcentaje de incidencia como material, la armadura de punzonado implica mayor mano de obra, mayor dificultad en la colocación y en el hormigonado.
– El incremento de la altura total reduce el consumo de armadura radial inferior, pero incrementa la superior a causa del mayor peso propio del hormigón.
– La armadura de punzonado se puede reducir si se incrementa la altura total de la base, siempre que el incremento se logre permitiendo mayor altura de hormigón por debajo de la brida del inserto del aerogenerador.
– Es aconsejable evitar el uso de diámetros de barra dispares para completar la sección requerida por cálculo (25mm y 12mm, por ejemplo). Tal situación se traduce en asimetrías en las cargas absorbidas y en las tensiones de servicio de las armaduras, causando incrementos localizados de estas tensiones, desfavoreciendo la fisuración y la fatiga.
Referencias bibliográficas
1. Guidelines for Design of Wind Turbines – Segunda Edición – Det Norske Veritas, Copenhagen and Wind Energy Department, Risø National
Laboratory, ISBN 87-550-2870-5. Denmark (2002).
2. Reglamento Argentino de Estructuras de Hormigón – CIRSOC 201/05 (2005).
3. CEB-FIP Model Code 1990 Design Code – Thomas Telford (1991).
4. Curso Aplicado de Cimentaciones, Ortiz, Gesta y Mazo – Colegio Oficial de Arquitectos de Madrid – Cuarta Edición (1989).
5. Introducción al Cálculo de Hormigón Estructural – Segunda Edición – Rodolfo Orler, Hugo Donini – Editorial Nobuko – ISBN 978-987-584-362-2
Nota: este trabajo fue desarrollado mediante métodos aproximados para el cálculo de las variables a los efectos de generar un mayor número de comparaciones de geometrías de bases. Su finalidad no es el proyecto o cálculo de las mismas, sino evaluar la sensibilidad de los parámetros que intervienen en su comportamiento.






















